当前位置:肿瘤瞭望>资讯>研究>正文

Lancet Oncol丨PSMA-PET联合PROMISE,重新定义前列腺癌患者的疾病分期与风险分级

作者:肿瘤瞭望   日期:2025/1/13 14:34:02  浏览量:7963

肿瘤瞭望版权所有,谢绝任何形式转载,侵犯版权者必予法律追究。

前列腺特异性膜抗原(PSMA)-PET于2012年引入临床应用,此后的广泛应用改变了临床实践中的前列腺癌分期。而前列腺癌分子成像标准化评估(PROMISE)于2018年发布,为PSMA-PET的标准化解读提供了依据。2024年的一项研究评估了PSMA-PET分期(按照PROMISE分类)对于大型多中心患者队列的预后价值。结果发现,对于早期和晚期前列腺癌患者总生存期而言,这种方案能够准确地进行高危、低危分层;与现有的临床风险工具相比,该方案具有同等或更高的预测准确性。

编者按:前列腺特异性膜抗原(PSMA)-PET于2012年引入临床应用,此后的广泛应用改变了临床实践中的前列腺癌分期。而前列腺癌分子成像标准化评估(PROMISE)于2018年发布,为PSMA-PET的标准化解读提供了依据。2024年的一项研究评估了PSMA-PET分期(按照PROMISE分类)对于大型多中心患者队列的预后价值。结果发现,对于早期和晚期前列腺癌患者总生存期而言,这种方案能够准确地进行高危、低危分层;与现有的临床风险工具相比,该方案具有同等或更高的预测准确性。
 
 
研究背景:
 
前列腺癌是男性常见的恶性肿瘤之一,其诊断和治疗一直受到广泛关注。前列腺特异性膜抗原正电子发射断层扫描(PSMA-PET)是一种用于检测前列腺癌的先进医学成像技术,该技术在前列腺癌的诊断和治疗中发挥着重要作用。PSMA-PET自2012年被引入临床应用以来,已被证明在前列腺癌的肿瘤定位上优于其他标准技术,为前列腺癌的诊断和管理提供了新的手段。
 
然而,PSMA-PET分期的临床意义仍然存在争议。为了解决这一问题,研究者们提出了前列腺癌分子成像标准化评估(PROMISE)框架,以标准化PSMA-PET的报告和评估。因为缺乏长期的生存跟踪数据,PROMISE标准下的PSMA-PET分期(简称为PPP指标)的预后价值在最初的研究中并未得到充分评估。这项研究进行了进一步分析。
 
研究方法:
 
研究团队收集了前列腺癌患者的临床数据,包括PSMA-PET扫描结果、病理诊断、治疗方案以及随访信息等。通过统计分析和机器学习技术,开发了基于PSMA-PET的预后评估模型,用于预测患者的总体生存率和疾病进展风险。这项研究为一项多中心回顾性研究,纳入了2014年10月30日至2021年12月27日期间接受PSMA-PET的前列腺癌患者。
 
患者的PSMA-PET检查已进行,以指导临床管理。检查指征包括中危或高危疾病的分期(即初始分期亚组)、局部治疗后前列腺特异性抗原(PSA)增加患者的癌症定位(即生化复发亚组)、转移扩散评估(即非mCRPC、mCRPC和mHSPC患者)或转移扩散和PSMA表达水平评估(即mCRPC患者)。
 
研究结果:
 
共分析了2414名男性患者,包括训练队列(1110名)、内部验证队列(502名)和外部验证队列(802名)。截至2023年6月30日,有901/2414名(37.3%)已死亡,中位随访时间为52.9个月。在训练队列和内部验证队列中,有1557/1612名(97%)接受了68Ga-PSMA-11 PET-CT扫描,55名(3%)接受了18F-PSMA-1007 PET-CT或全身PET-MRI扫描。在外部验证队列中,761/802名(95%)接受了68Ga-PSMA-11 PET/CT扫描,41/802名(5%)接受了18F-PSMA-1007 PET-CT或全身PET-MRI扫描。
 
在生化复发亚组,有432/710名(61%)患者的PSMA-PET检测发现局部病变。内部和外部验证队列之间存在一些特征差异,特别是总体生存(总体训练队列和内部验证队列的患者分别为544名和357名,即34%vs 45%)、M0期(总体训练队列和内部验证队列的患者分别为925名和337名,即57%vs 42%),总病变数超过20个(总体训练队列和内部验证队列的患者分别为246名和201名,即15%vs 20%)。
 
▌PPP指标的临床应用
 
对16个潜在的PPP指标进行了单变量Cox回归分析,发现其中14个与总生存期显著相关,而局部肿瘤分期T2u、T3a和Tr以及局部区域淋巴结状态N1则与总生存期无显著相关性。总肿瘤体积与总肿瘤病灶数之间存在中度正相关(r=0.59)。
 
 
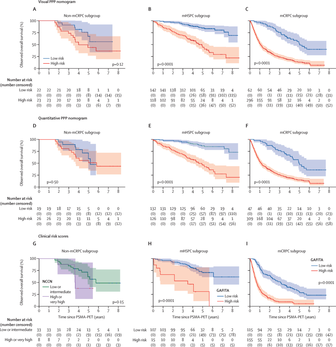
为便于临床应用,研究者将其分为视觉指标和定量指标两类。视觉指标评估涵盖了分子成像局部肿瘤、局部区域淋巴结、盆腔外淋巴结、骨转移、器官转移和总肿瘤病灶数等六个变量;而视觉定量指标评估则包括了分子成像局部肿瘤、局部区域淋巴结、盆腔外淋巴结、骨转移、器官转移、总肿瘤体积和肿瘤SUVmean等七个变量。
 
▌PPP指标与总生存及风险分层
 
对于视觉指标和定量指标预测总生存的准确性,在训练队列中,C指数分别为0.82(95%CI 0.80–0.85)和0.79(0.77–0.81);在内部验证队列中,C指数分别为0.80(95%CI 0.77–0.84)和0.78(0.75–0.82);外部验证队列同样相似,分别为0.77(0.75–0.78)和0.77(0.75–0.78)。内部和外部验证队列之间的直接比较表明,除mCRPC亚组外,所有疾病阶段的预后准确度都相似。在mCRPC亚组,内部验证队列中的定量指标和视觉指标的预后价值均显著高于外部验证队列。
 
 
使用视觉指标时,总体人群(来自综合训练队列和内部与外部验证队列的完整病例)中的有1455/2397名(61%)被归类为低危组,942/2397名(39%)被归类为高危组。与视觉指标相比,定量指标将整个内部和外部队列中的153名患者重新归类为低危组,227名患者重新归类为高危组。
 
对于总体人群和生化复发亚组,为综合训练队列和内部验证队列中数据完整的患者计算了临床风险评分。PPP指标在初始和生化复发亚组中的区分高危/低危风险的能力比STARCAP和EAU风险评分更准确,且与NCCN临床风险评分相似。对于non-mCRPC、mHSPC和mCRPC亚组,GAFITA和PPP指标均可为mHSPC和mCRPC亚组的高危和低危风险提供准确分层。
 

研究结论:
 
本研究首次在大规模多中心队列中评估了基于PROMISE标准的PSMA-PET的预后价值,发现其能够有效预测前列腺癌患者的总生存,并开发了优于现有临床风险评分系统的视觉和定量指标。通过内部和外部验证,研究者将PSMA-PET确立为前列腺癌早期和晚期阶段的一种新型独立定量预后生物标志物。
 
参考文献
Karpinski M J,Hüsing J,Claassen K,et al.Combining PSMA-PET and PROMISE to re-define disease stage and risk in patients with prostate cancer:a multicentre retrospective study[J].The Lancet Oncology,2024,25(9):1188-1201.

本内容仅供医学专业人士参考


前列腺癌

分享到: 更多