ASCO大咖点评丨邬麟教授:基于外周血动态免疫特征预测广泛期小细胞肺癌免疫治疗疗效和预后

作者:肿瘤瞭望   日期:2025/6/3 15:29:42  浏览量:4083

肿瘤瞭望版权所有,谢绝任何形式转载,侵犯版权者必予法律追究。

在2025年美国临床肿瘤学会年会(ASCO)壁报专场“发展治疗学-免疫疗法”(Poster Session-Developmental Therapeutics-Immunotherapy),一项“基于外周血动态免疫特征预测广泛期小细胞肺癌免疫疗法疗效和预后的探索性研究”发布了进一步分析结果。《肿瘤瞭望》特邀湖南省肿瘤医院邬麟教授就该研究结果进行深度剖析。

在2025年美国临床肿瘤学会年会(ASCO)壁报专场“发展治疗学-免疫疗法”(Poster Session-Developmental Therapeutics-Immunotherapy),一项“基于外周血动态免疫特征预测广泛期小细胞肺癌免疫疗法疗效和预后的探索性研究”发布了进一步分析结果。《肿瘤瞭望》特邀湖南省肿瘤医院邬麟教授就该研究结果进行深度剖析。
 
专家简介
 
邬麟教授
二级主任医师,博士生导师、博士后合作导师
湖南省肿瘤医院(中南大学湘雅医学院附属肿瘤医院)内科教研室主任,GCP肿瘤专业负责人、胸内二科主任
湖南省肺癌临床医学研究中心主任
湖南省卫生健康高层次人才学科带头人
主持国际、国内多中心临床试验200余项,主持省部级课题20余项,发表论文200余篇,部分成果发表在Lancet、JAMA、Lancet Oncology、JCO、JTO、Nature Communications、BJC等著名国际期刊。
担任中国抗癌协会(CACA)老年肿瘤专委会副主委,CACA肿瘤内科专委会副主委,中国临床肿瘤学会(CSCO)老年肿瘤专委会副主委,中国医促会肿瘤舒缓治疗学分会副主委,CSWOG肺癌专委会候任主委,中国老年保健协会肺癌专委会副主委,中华医学会肿瘤学分会肿瘤内科专委会委员,CSCO理事,CACA小细胞肺癌专委会常委、原发灶不明及多原发癌专委会常委,CSCO罕见肿瘤专家委员会常委,湖南省健康服务业协会肿瘤防治分会理事长,湖南省抗癌协会肿瘤化疗专委会主委,湖南省医师协会肿瘤医师分会副会长,湖南省抗癌协会肺癌专委会副主委等多个学术任职。
 
Abstract 2549:An exploratory study to predict the efficacy and prognosis of immunotherapy for extensive-stage small cell lung cancer based on peripheral blood dynamic immune profiles.
基于外周血动态免疫特征预测广泛期小细胞肺癌免疫疗法疗效和预后的探索性研究
 
背景
 
外周血单核细胞的高维分类信息可提供丰富的疗效和预后相关数据,有望为肿瘤免疫治疗领域提供更多的有效标志物及相关机制探索方向。而目前在广泛期小细胞肺癌(ES-SCLC)免疫治疗领域,能预测疗效和预后的标志物有待探索和明确。
 
研究方法
 
本研究利用ES-SCLC患者动态外周血等临床资源,将单细胞质谱流式技术应用于ES-SCLC患者免疫治疗的动态监测中。通过对以下蛋白进行标记:CD45、CD3、CD4、CD8、CD25、CD127、CD45RA、CD45RO、CCR7、TCRγδ、CD19、CD66b、CD14、CD56、CD16、CD11c、CD123、HLA-DR、CD38、CD57、CXCR3、CCR6、CCR4、CXCR5、CD95/Fas、LAG-3、Tim-3、CTLA-4、PD-L1、PD-1、CD278/ICOS、TIGIT,对ES-SCLC患者的外周血免疫细胞进行高维度精细分型。进一步结合疗效评估及生存指标,探索可以预测SCLC免疫治疗疗效和预后的外周血动态免疫特征。
 
 
结果
 
本研究共收集了一线接受免疫联合化疗(n=20)和单纯化疗(n=7)的ES-SCLC患者的81例动态外周血样本(治疗前、治疗2周期后、疾病进展)。通过飞行时间细胞计数法获得的原始数据经过圈选和数据清理后,得到了总计5321408个单核细胞的数据集。结合蛋白质表达谱,对细胞亚群进行了3个层次的注释,共得到30个具有生物学意义的细胞亚群。
 
 
在免疫治疗组中,基线衰老CD4+TEM/CD4+TEM高占比(P=0.029)与较长的PFS显著相关。基线TIGIT高表达(P=0.016)与较短的PFS显著相关。
 
 
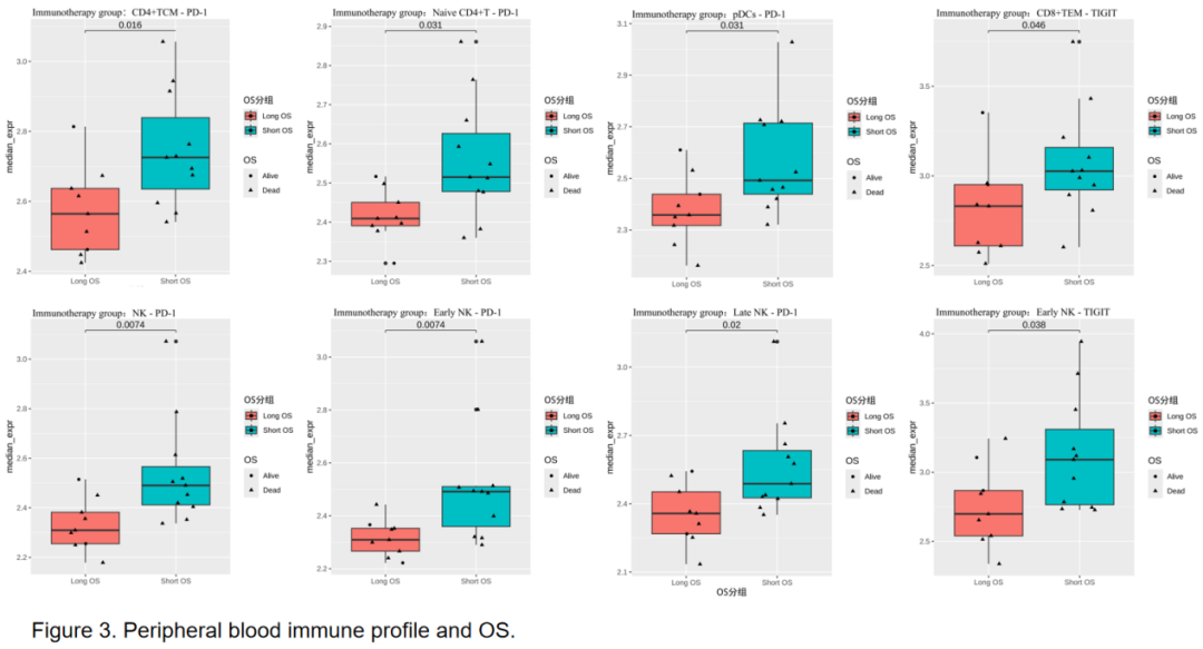
此外,多个细胞亚群的基线PD-1(CD4+TCM,P=0.016;Naive CD4+T,P=0.031;pDCs,P=0.031;NK,P=0.007;Early NK,P=0.007;Late NK,P=0.02)与TIGIT(CD8+TEM,P=0.046;NK,P=0.038)表达水平与OS呈显著负相关。
 
 
外周血动态监测显示,在免疫治疗组中,治疗后γδT细胞占比增加(PFS,P=0.035;OS,P=0.032)与较长的PFS和OS显著相关。治疗后CD4+TEM(PFS,P=0.021;OS,P=0.036)和CD4+TCM(PFS,P=0.01;OS,P=0.014)占比增加与较短的PFS和OS显著相关。
 
 
同时,疾病进展时总细胞的CTLA-4、ICOS表达较治疗2周期后显著增高,提示可能与免疫治疗耐药有关。
 
 
在化疗组中,上述外周血动态免疫特征并不能预测化疗的疗效和预后。
 
结论
 
在广泛期小细胞肺癌中,外周血动态免疫特征可以预测免疫治疗的疗效和预后。
 
专家点评
 
目前在SCLC中,能预测免疫治疗疗效与预后的生物标志物仍匮乏,在SCLC患者免疫联合治疗队列中探索能够预测治疗疗效的生物标志物及潜在预测机制,是免疫治疗在SCLC临床应用方向亟待解决的问题。对于肿瘤微环境和肿瘤异质性的分析为肿瘤驱动的免疫变化提供了有价值的线索,为免疫疗法的评估提供了一个强有力的工具。
 
质谱流式技术CyTOF(Cytometry by Time-of-Flight)是一种即时高通量的单细胞检测技术,与传统的荧光流式不同,它具有通道多、分析速度快、灵敏度高等特点,可以进行单个细胞多达50个蛋白水平的共分析,实现单细胞水平的高维度精准细胞分型。一系列研究显示,外周血单核细胞的高维分类信息可提供丰富的疗效和预后相关数据,可以在疾病诊疗过程中能实现动态检测,描绘循环免疫景观在治疗过程中的动态变化,有望为肿瘤免疫治疗领域提供更多的有效标志物及相关机制探索方向。发表在《NATURE MEDICINE》上的一篇研究利用高维单细胞质谱流式细胞技术、scRNA-seq和定制的交互式生物信息学流程,深入表征IV期黑色素瘤患者在免疫治疗前和12周后外周血中的免疫细胞亚群,以识别与应答相关的预测标签。研究结果显示,免疫治疗改变了T细胞的特性,髓系细胞频率可预测免疫治疗反应性,CD14+/CD16-/HLA-/DRhi单核细胞的频率是免疫治疗PFS和OS的一个强有力的预测因素,单核细胞在PBMCs中的占比可用于临床决策支持。另一篇研究报道了在接受PD-1抑制剂的NSCLC患者中,响应者外周血中的NK细胞比例及活性都要高于非响应者,除了免疫抑制性的髓系细胞亚群,肿瘤浸润淋巴细胞上其他免疫检查点分子的表达量也与肿瘤患者的预后有着直接关系。
 
在小细胞肺癌免疫治疗领域,基于外周血免疫微环境的高维度免疫细胞预测指标相关研究仍十分匮乏。本研究作为一项探索性观察研究,初步揭示了外周血动态免疫特征与ES-SCLC免疫治疗疗效及预后的关联,为深入理解SCLC的免疫治疗策略提供助力,也为该领域的相关探索提供研究方向。
 
思考
 
本研究当前结果主要为描述性发现,未来需要在更大规模的前瞻性队列中进行验证,以确认所识别动态免疫特征的普适性。未来研究将重点聚焦于深入探索这些关联背后的生物学机制,以期获得更全面的科学阐释。在真实世界诊疗实践中,确保患者在基线、治疗期间及疾病进展时连续进行多次外周血(液体活检)动态监测存在一定困难,如何优化采样策略、降低成本并简化操作流程,是实现动态监测临床转化的关键。
 
本研究初步识别了部分具有潜在预测价值的免疫细胞亚群及其动态变化,是迈向临床应用的初步探索。如何将这一发现有效转化为指导个体化治疗决策(如患者筛选、疗效预测、耐药预警)的实用工具,我们仍有大量工作亟待完成,包括开发标准化检测流程、建立可操作的预测模型以及进行严格的临床效用验证。
 
References
[1]Wu L,Wang J,Chen B,et al.An exploratory study to predict the efficacy and prognosis of immunotherapy for extensive-stage small cell lung cancer based on peripheral blood dynamic immune profiles.Journal of Clinical Oncology.2025.43(16_suppl):2549-2549.doi:10.1200/JCO.2025.43.16_suppl.2549

本内容仅供医学专业人士参考


肺癌

分享到: 更多